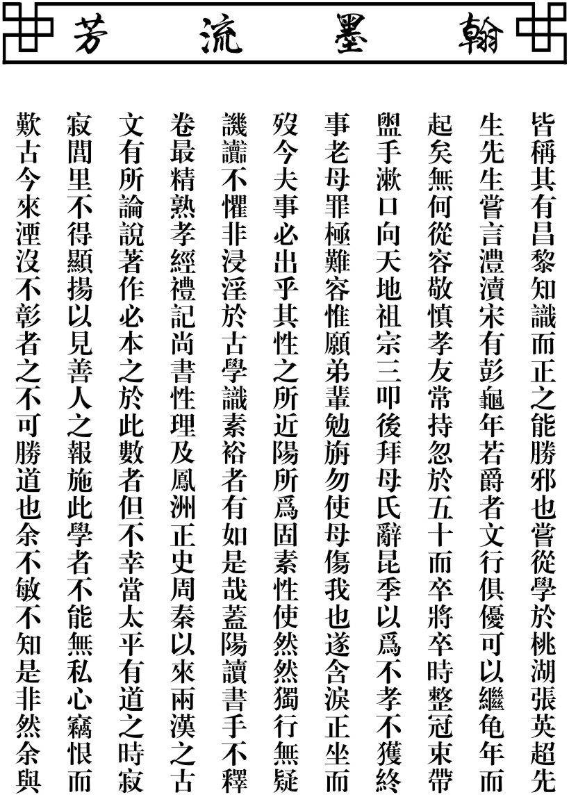
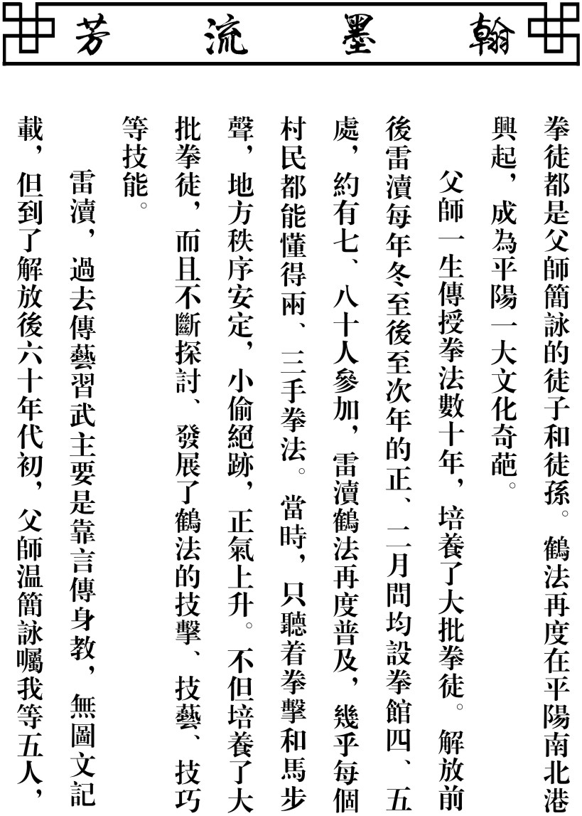
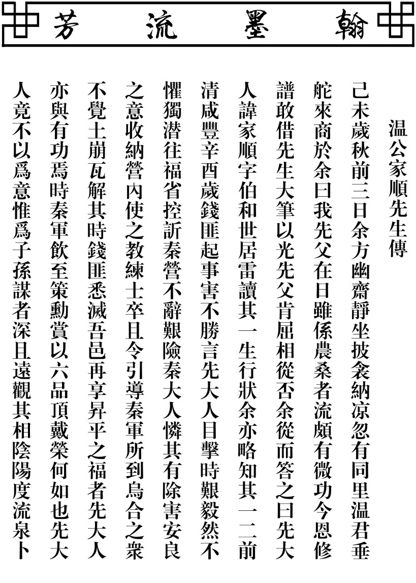
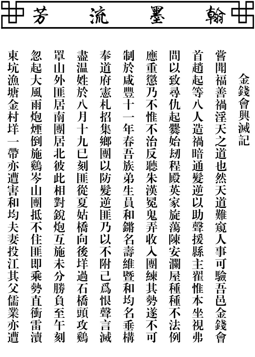
当前位置:总站/子站/麻步雷渎温氏/钱仓房文元公派
加载中,请稍等...

太原郡温氏宗譜

雷凟文元公派世系 二〇二四年甲辰重修

五服支圖

雷凟文元公派世系
  • 第一世
  • 第二世
  • 第三世
  • 第四世
  • 第五世
  • 始祖

    文元

    日任公三子
    諱游
    號養衷
    生卒俱失考
    葬本地雞岑山下坐乙向辛
    配莊氏
    生卒俱失考
    葬本地蓋竹新山頭土名龜仔墳坐艮向坤
    生子一
    • 悦柑

      字玉環
      號璧瑚
      生於一六二四年天啟甲子正月廿七日申時
      卒於一六八一年康熙辛酉六月廿七日未時享年五十八歲
      墳在桃源鳳岙山坐癸向丁
      配蔡氏

      • 長房
        嗣子

        士助

        係本族重成公之子
        字贊午
        號伯修
        生於一六四四年順治甲申
        卒於康熙年間
        配吳氏
        生卒俱失考
        生子五
        合葬小洞垟柯林
        • 國嘉

          字原美
          配蘇氏
          生卒俱失考
          生子三
          • 錫攀

            7
            長房一
          • 錫角

            8
            長房二
          • 錫烈

            8
            長房三
            出繼劉姓住桐山半嶺後歸宗
        • 國齊

          字原修