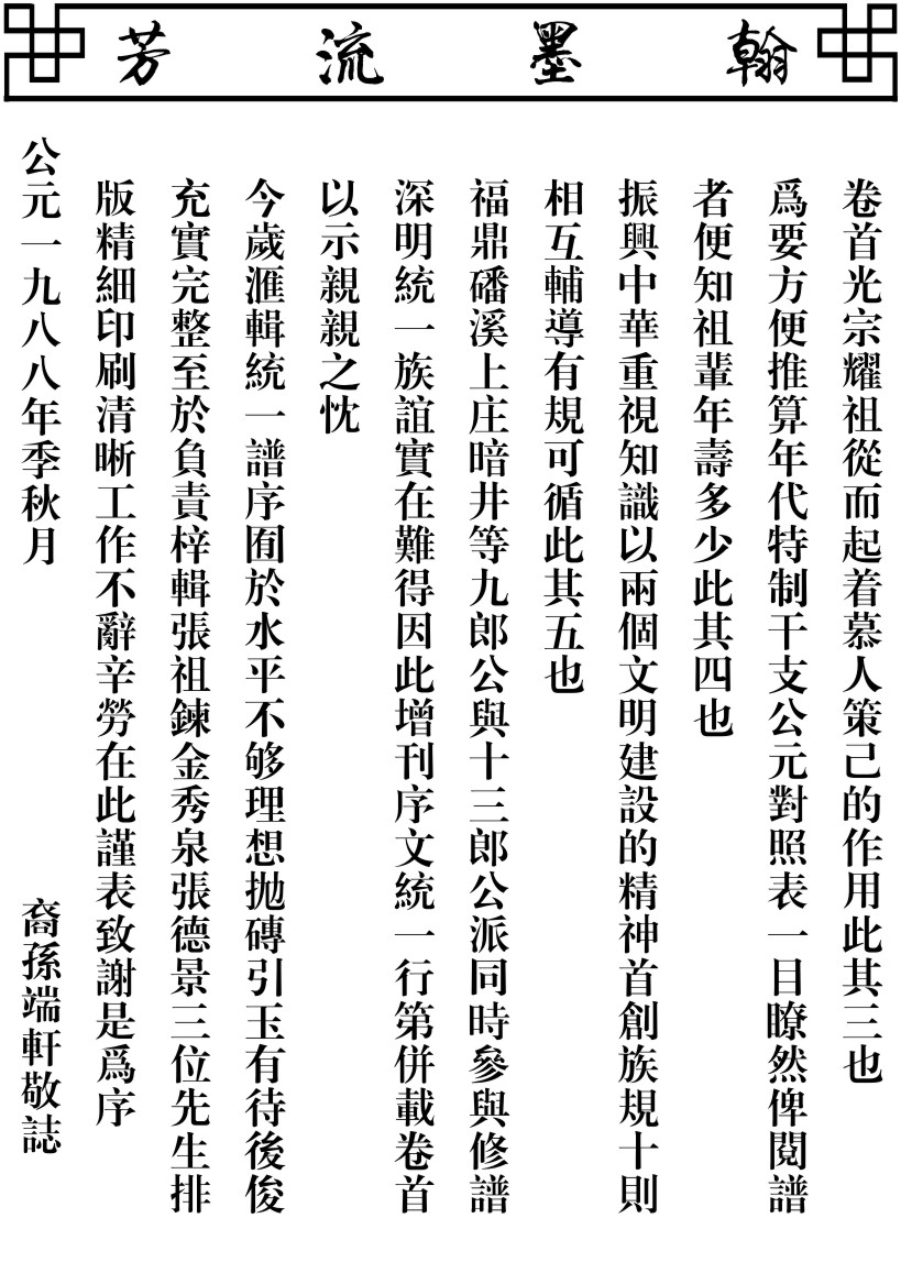
当前位置:总站/子站/麻步雷渎温氏/钱仓房奉元公派
加载中,请稍等...

太原郡温氏宗譜

雷凟奉元公派世系 二〇二四年甲辰重修

五服支圖

雷凟奉元公派世系
  • 第一世
  • 第二世
  • 第三世
  • 第四世
  • 第五世
  • 始祖

    奉元

    日任公長子
    諱江
    號恩永
    生卒俱失考
    配鄭氏
    生於一五七七年萬歷丁丑
    卒於一六五〇年順治庚寅
    享壽七十四歲
    生子三
    合葬本都岙底
    • 悦格

      字白袞
      生於一五九七年萬歷丁酉五月十四日辰時
      卒於一六六〇年順治庚子二月初一日辰時享壽六十四歲
      配闕氏
      生於一六〇一年萬歷辛丑
      卒於一六七八
      • 士

        生於一六二一年天啟辛酉八月二十日辰時
        卒於一六九六年康熙丙子五月初五日午時享壽七十六歲
        配黄氏
        生於一六三三年崇禎癸酉
        卒於一七〇九年康熙己丑

        • 國孫

        • 國素

        • 國萬

          生於一六七一年康熙辛亥十月初六日亥時
          卒於一七五一年乾隆辛未三月初九日亥時
          享壽八十一歲配王氏

          • 天生

          • 幼殤
          • 錫易

            幼殤
          • 錫竇

            7