当前位置:总站/子站/水头鶴林张氏大宗/二房(国宝公房)
加载中,请稍等...

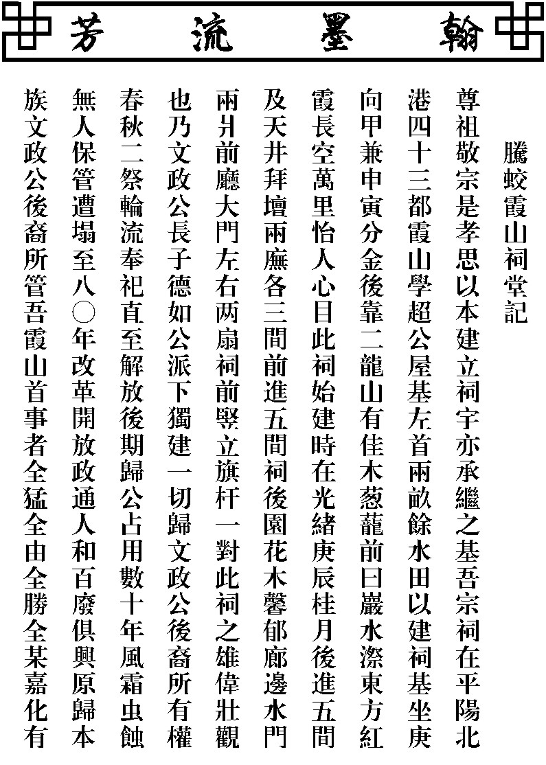
清河郡張氏宗譜

國寶公派下 二〇一七年丁酉重修

五服支圖

國寶公派下
  • 廿一世
  • 廿二世
  • 廿三世
  • 廿四世
  • 廿五世
  • 上見一頁鴻昌公三子

    國寶

    字漢鼎
    生於一六六六年康熙丙午正月十五日吉時卒於一七二三年雍正癸卯八月初四日未時享年五十八歲妣四十四都菴基林氏
    生於一六六八年康熙戊申十
    • 欽義

      早世
    • 文圭

      字欽璧
      生於一六九九年康熙己卯四月初七日戌時卒於一七六四年乾隆甲申六月三十日未時享壽六十六歲
      妣四十四都水頭楊氏

      • 德修

        字士立
        生於一七三〇年雍正庚戌正月二十日寅時
        卒於一八一四年嘉慶甲戌二月初八日戌時享壽八十五歲
        妣四十七都小江南陳氏

        • 維王

          字應堂
          號琴亭
          生於一七五六年乾隆丙子十月廿三日巳時卒於一八二九年道光己丑五月十四日未時享壽七十四歲
          妣四十七都北